凯发娱乐国际_66利来官网

0898-08980898  13876453617

网站公告
诚信为本,市场在变,诚信永远不变...

分享本站:

0898-08980898
传真:0000-1234-5678
邮件:admin@youweb.com
客服:

第五系列

您当前的位置: 首页 > 产品中心 > 第五系列

故障寿命分布规律及维修策略

点击数:     更新时间:2025-07-31 22:33:28

  一个复杂的系统或设备是由许多不同零部件构成的,如果这些零部件发生故障(失效),可能导致整个系统发生故障。现代设备的复杂化使得故障模式呈多样化趋势,设备故障率随时间的发展规律主要有6种形式。

  研究故障宏观统计规律主要是研究故障率随时间变化的规律。在一段时间内,具有代表性的是浴盆曲线所示。

  图1 浴盆曲线可以看出,在一个复杂系统或设备的寿命周期中,故障率随时间的变化分为三个阶段:早期故障期、偶发故障期和耗损故障期。

  ①早期故障期的故障主要由设计、制造和材质上的缺陷或操作不熟练等原因造成,发生在设备的使用初期、大修理或改造后使用初期;开始故障率较高,随着故障的排除,故障率逐渐下降了。

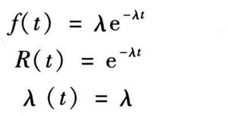
  ②偶发故障期的故障主要由构成系统、设备和零部件的某些无法预测的缺陷所引起。在此期间,故障不可预测,不受运转时间的影响而随机发生。此时期的故障率λ(t)基本保持不变,且服从指数分布。这一时期是设备的最佳工作期。

  ③耗损故障期的故障主要由构成设备的大部分零部件集中耗损而产生,其表现形式是随着运转时间的增加,故障率逐渐升高。

  通常,根据设备的耗损故障情况和能力,制定一条“容许的故障率λ”的界线,以控制实际故障率不超过此范围。维修人员的工作是努力延长设备寿命,减少停机时间,降低故障率,使其不超过规定的“容许的故障率λ”界线.一般设备故障率曲线的基本形式

  通过美国航空航天局(NASA)统计数据表明,航空设备故障率大致可以分为六种类型,其故障率曲线 六种基本故障率(λ)与时间(t)的关系曲线中的六种故障率曲线,可以看到,A型为经典的浴盆曲线,有明显的耗损期;B型故障率具有常数或渐升的特征,然后出现明显的耗损期,符合这两种形式的是各种零件或简单产品的故障,如轮胎、刹车片、活塞式发动机的汽缸的故障,它们通常具有机械磨损、材料老化、金属疲劳等;C型没有明显的耗损期,但是故障率也是随着使用时间的增加而增加的;曲线D显示了新设备从刚出厂的低故障率,急剧地增长到一个恒定的故障率;曲线E显示设备的故障为恒定值,出现的故障常常是偶然因素造成的;而曲线F显示设备开始有高的初期故障率,然后急剧下降到一个恒定的或者是增长极为缓慢的故障率。

  具有A、B型耗损特性的航空设备仅占全部设备的6%,具有经典浴盆曲线%,没有明确耗损期(C型)的占5%,以上三种形式故障率的设备共占11%。而89%的设备则没有耗损期(D、E、F型),归为E型,这些不需要定时维修。

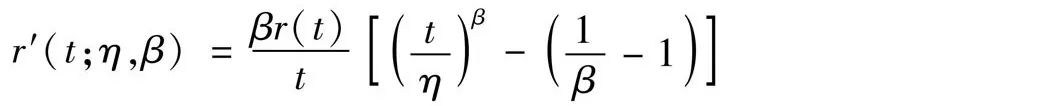
  这里,故障率函数r(t)可以看作两个函数r1(t; η, β)和r2(t; η, β)的乘积。其中,当β<1时,r1为减函数,而r2则总是增函数。

  浴盆曲线的维修策略为:对于早期故障,只能在发现故障后立即采取排除措施,不适于采取定时更换的事前预防对策。因为在早期故障率高的情况下,如果企图以新品更换在用品,就等于用故障率高的机件更换故障率低的机件,不仅不能降低总的故障率,反而会产生相反的效果。

  图3表示每相隔间隔期T实行定时更换时故障率的变化情况。每次定时更换,都会使故障率升高,并使平均故障率大于λ(T),保持在相对较高的水平。

  偶然故障期,不能用定时更换的办法来预防。故障率本来是常数,即使更换了,故障率也不发生变化,定时更换无效果(见图4)。这时只能让它一直工作到有用寿命末期为止。如果更换修理,甚至会引起附加的早期故障,增加人为差错的故障。

  耗损故障期,设备的故障率开始随着时间的增加而迅速增大,表现出故障集中出现的趋势。如果在进入耗损故障期之前定时更换,故障率递增的趋势是可以控制住的。

  正态分布曲线的维修策略:对于失效分布属于正态分布的设备,存在两种情况,分别如图6和图7所示。图6所示的设备状态变化分布范围小,故障率在短时间内快速增长,设备故障多发期的时间跨度短,故可在设备故障率急剧增长之前进行定期维修策略;图7所示的设备状态变化分布范围大,故障率增长缓慢,设备故障多发期跨越了较长的时间段,很难判断合适的维修周期,此时可采用基于状态的维修策略。

  指数分布曲线的维修策略:故障服从指数分布的设备,平均故障间隔期等于故障率γ的倒数,即1/γ。因此对于可修复系统,可以认为大约每隔1/γ时间发生一次故障,此时可以通过改进设计和检修设备来改善设备的状态。

  7月30日深圳见!全数会2025中国智能制造数字化转型大会参展指南速码

  工业数据价值几何?看道达尔能源 & 艾默生联手掘金实时工业数据,优化全球运营

  禾望电气半年度业绩预增超50%,汇川联合动力上市在即,工信部提出提升工业智能化水平 市场观察

客服头部
0898-08980898
13876453617

网站二维码